Key to the Practice Final

Problem 1

(-1,1)

Problem 2

C.  (x - 5)2  + (y - 4)2  = 1

Problem 3

A. Hyperbola

B.  Circle

Problem 4

(sqrt(56/11),4/11), (-sqrt(56/11),4/11), (sqrt(56/11),-4/11), (-sqrt(56/11),-4/11)

the picture is a hyperbola and an ellipse intersecting in four points.

Problem 5

A function is a rule that assigns to every element from one set (called the domain) to a unique element of a second set (called the range)

Problem 6

-2x2 +x + 3

Problem 7

x = log2/log6

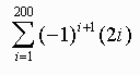
Problem 8

Problem 9

A.  41.68

B.  616.16

C.  622.34

Problem 10

17.4 years