Division of Polynomials

Dividing by a Monomial

To divide a polynomial by a monomial, we can divide each term by the monomial.


Example

         
4x2 - 2x  - 3              4x2          - 2x             3
   
                                 =               -                -             
                 5x                       5x             5x            5x

                    4x             2          3
        =                    -           -                                           
                     5             5          5x


 

Exercises

Divide the polynomials

  1.     2x3 + 5x2 - 4
                                   
               3x

     2x^2/3 + 5x/3 - 4/3x

  2.     7x4 - 3x2 + x - 2
                                        
                6x2

7x^2/6 - 1/2 +1/(6x) - 1/(3x^2)


Polynomial Division

Recall how to perform long division.  We will divide 4321 by 6.  We see that we follow the steps:

  1. Write it in long division form.

  2. Determine what we need to multiply the quotient by to get the first term.

  3. Place that number on top of the long division sign.

  4. Multiply that number by the quotient and place the product below.

  5. Subtract

  6. Repeat the process until the degree of the difference is smaller than the degree of the quotient.

  7. Write as sum of the top numbers + remainder/quotient.

 

Example

Divide

        4321
                    
            6

Solution

               720
        6 | 4321  
             42       
6 x 7  = 42
               12      
43 - 42  =  1 and drop down the 2
               12      
6 x 2  =  12 
                 01    
12 - 12  =  0 and drop down the 1
                   0     
6 x 0  =  0
                   1     
1 - 0  =  1


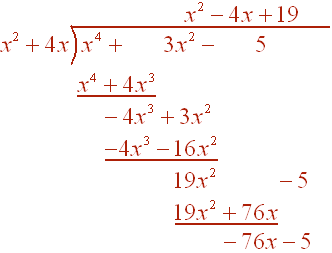
To divide polynomials, we perform the same steps, except that there are x's involved. 

 

Example

Divide

        x4 + 3x2 - 5
                               
            x2 + 4x

Solution

We first write in long division form

       

Next decide what we need to multiply x2 by to get x4.  Since 

        (x2)(x2)  =  x4 

we can write

       

Next, we multiply x2 + 7x and x2.

       

Now subtract to get and bring down the 3x2 to get

       

We repeat this process until the degree of the remainder is less than the degree of the denominator.

        Poly Division

The final solution is

                                   -76x + 5
        x2 - 4x + 19 +                         
                                    x2 + 4x

 

Exercises

Divide the polynomials.

  1.     3x2 + 5x + 7 
                              
             x + 1 

    3x + 2 + 5/(x+1)

  2.       2x4 + x - 1 
                               
         x2 + 3x + 1 

2x^2-6x+16 - (41x+17)/(x^2+3x+1)



Back to Math 152A Home Page

e-mail Questions and Suggestions