Power Series and Taylor Polynomials

I.  Homework

II.  Definition of a Power Series

Let f(x) be the function represented by the series

f(x) = sum anxn

Then f(x) is called a power series function   

More generally, if f(x) is represented by the series

f(x) = sum an(x - c)n

Then we call f(x) a power series centered at x = c.

The domain of f(x) is called the Interval of Convergence and half the length of the domain is called the Radius of Convergence.

III.  The Radius of Convergence

To compute the radius of convergence, we use the ratio test.

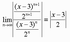
Example:  Find the radius of convergence of

f(x) = sum ((x - 3)n)/(2n)

Solution:   We use the Ratio Test:

We solve        

|(x - 3)/2| < 1 or |x - 3| < 2 so that

1 < x < 5

Since 1/2(5 - 1) = 2, the radius of convergence is 2  Since the center of convergence is at x = 3, the interval lies in

(1,4)

Exercise:  Find the radius of convergence of

f(x) = sum (x - 2)n

III.  Taylor Series

Recall that the taylor polynomial of degree n for a differentiable function f(x) centered at x = c is

sum from 0 to n of f(k)(c)/k! (x - c)k

If we let n approach infinity, we arrive at the Taylor Series for f(x) centered at x = c.

Definition:   The Taylor Series for f(x) centered at x = c is

If c = 0 we call this series the Mclaurin Series for f(x).

Recall that the error of the nth degree Taylor Polynomial is given by

R = f(n+1)(z)/(n+1)! (z - c)n+1

Hence if lim R = 0 then the Taylor Series converges.

Example:

Find the McLaurin Series expansion for

f(x) = cos(x)

We compute:

f(0) = 1, f'(0) = 0, f''(0) = -1, f(3)(0) = 0, f(4)(0) = 1, f(5)(0) = 0, f(6)(0) = -1,...

Hence we have the series

1 - x2 /2+ x4/4! - x6/6!  + x8/8! + ...

We see that the series is

sum from 0 to infinity of  (-1)nx2n/(2n)!

Exercises  Find the Taylor series expansion for

A)  sin(x) centered at x = pi/2

B)   ln(x + 1) centered at x = 0

IV.  Statistics

The Standard Normal Distribution function is defined by

f(x) = 1/sqrt(2 pi) e(-x2/2)

We define the probability as follows:

P(a < x < b) = int from a to b of f(x) dx

Use McLaurin series to approximate the probability of getting a B in this class if the average is 70 and the standard deviation is 10.  

A B corresponds to between 1 and 2 standard deviations from the mean, hence we need to compute

We can calculate the first many terms on the calculator to get an approximate value.