MATH 116 PRACTICE MIDTERM 2

Please work out each of the given problems.  Credit will be based on the steps that you show towards the final answer.  Show your work.

PROBLEM 1  Integrate the following functions

A)                        

Solution

We use integration by parts here

          u  =  ln(2x)    du  = 1/x dx       from 2(1/2x)
    dv  =  x         v  =  x2 / 2

The integration by parts formula gives

       

B)                   

Solution

For this integral, we use substitution with

        u  =  1 - x        du  =  -dx        x  =  1 - u        1 + x  =  2 - u

This gives

       

          

C)                  

 Solution

We use substitution again

        u  =  5x5 - 3    du  =  25x4 

This gives

       

 

PROBLEM 2  Find the area of the region bounded by the curve

        y  =  x3 - 3x2 - 4x  

and the line

        y  =  6x

 Solution

We first sketch the graph of the region

       

We can see that we will need to do two integrals since on the left (R1) the top curve is the cubic and the bottom curve is the line and on the right hand side (R2) the top curve is the line and bottom is the cubic.  From the graph it appears that the equations intersect at -2, 0, and 5.  Let's verify this.  We set the equations equal to each other.

        x3 - 3x2 - 4x    =  6x             x3 - 3x2 - 10x  =  0

        x(x2 - 3x - 10)  =  0            x(x + 2)(x - 5)  =  0  

As we guessed the intersection points are at -2, 0, and 5.  Now we integrate

       

 

          

PROBLEM 3  Approximate the following integral using the midpoint rule with n  =  4.

       

  Solution

We first calculate

                       b - a             14 - 2        
        Dx  =                    =                  =  3
                         n                    4

The we get the four rectangles with left and right endpoints

        [2,5],   [5,8],   [8,11],   [11,14]

The midpoints of these rectangles are 

        3.5, 6.5, 8.5, and 12.5

Now we use the midpoint rule.  The integral can be approximated by

    

       

 

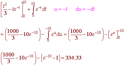
PROBLEM 4  The revenue R in thousands of dollars at time t years after 1990 of a travel agency can be modeled by the equation  R(t)  =  t2 + t e-t .  Find the total revenue of the company from 1990 to 2000.

Solution

The total revenue is the integral 

       

We use integration to integrate the second term

        u  =  t        dv  =  e-t 
        du  =  dt    v  =  -e-t 

This gives us

       

PROBLEM 5  Set up the integral to find the volume of the solid that results when the region bounded by the curves

         y  =  3 - x  and y  =  3 + x - x2 

is revolved about the x-axis.  You do not need to evaluate the integral.

Solution

We first sketch the graph.  Then draw a cross-section and revolve it about the x-axis.  

       

We see that the cross-section is a washer with larger and smaller radii 

        R  =  3 + x - x2        and        r  =  3 - x

The area of the cross-section is

        A  =  p(R2 - r2)  =  p[(3 + x - x2)2 - (3 - x)2]

The curves appear to intersect at 0 and 2.  We solve to make sure of this.

        3 + x - x2  =  3 - x        x2 - 2x  =  0

        x(x- 2)  =  0

and they do intersect at 0 and 2.  Putting this together gives