Expected Value and Variance

I.  Homework

II.  The Expected Value

Discreet Example:  Suppose that from a 100 student class, there were 10 F, 15 D's, 25 C's 30 B's, and 20 A's.  What is the average GPA?  We compute:

[0(10) + 1(15) + 2(25) + 3(30) + 4(20)]/100 = 2.45

Note that this looks similar to approximating the integral:

int from 0 to 4 xf(x) dx.

Definition  Let f(x) be a pdf, then the expected value of f is

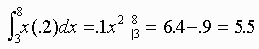
Example:  Find the expected value of the uniform distribution function f(x) = .2  on [3,8]

We compute

Exercises:  Find the expected value of the following pdfs.

A. f(x) = 3/4x2,  [1,4]

B.  1/16 sqrt(4 - x), [0,4]

III.  Variance and Standard Deviation

 Let f(x) be a pdf.  We define the variance by the integral

and the standard deviation sigma is defined as the square root of the variance.  Here me denotes the expected value.

Example:  

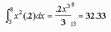
find the variance and standard deviation of the uniform distribution function f(x) = .2  on [3,8] as in the previous example.

Solution:  We know that the expected value mu is 5.5.

and

so V(x) = 32.33 - 5.52 = 2.08 and sigma = 1.44

Exercises:  find the variance and standard deviations for the previous exercises.

IV.  Median

the median is point at which half is to the left and half is to the right.  Since a pdf has area 1, the median is the point where the area to the left is .5 or the M such that

Example:  find the median of the density function f(x) = 1/3 e-t/3  on [0, infinity)

Solution:  Since

 

We set -e-t/3 + 1 = .5 or  -e-t/3 = -.5, e-t/3 = .5,  -t/3 = ln(.5), t = -3ln.5 = ln8 = 2.08