Quiz

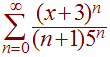
Determine the interval of convergence for