-
Quiz
-
Homework
-
Emptying a tank
Suppose that a cylindrical tank of water with radius 10 and height
20 is pumped out fully. How much work is required?
Solution:
F = weight = (density)(volume) = (64 lbs per cu ft)p r2 h cu
ft = 64p(100)d y
The distance that water y feet above the ground must be pumped is 20 - y
feet.
We have
-
Lifting a Chain
A 2,000 lb car has gone over a 100 foot cliff at the pass. A crane
lifts up to car with a chain that is 10 lbs per foot. How much work
is done?
Solution: Work = Work for the car + Work for the chain
Work for the car = 2,000(100)
Work for the chain =
Since the force is 10 times the distance the chain link is from the top.
This integral is 50,000. Hence the total work is
200,000 + 50,000 = 250,000 ft lbs.
-
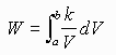
Running an Automobile
An automobile is run by a piston which turns the wheel. We have the equation
Force = pressure (lbs/sq inch) times Volume ( cu inches) = pressure(p
r2)
Boyle's Law states that the pressure is inversely proportional to the volume:
P = k/V
Hence
But p r2D x =
D V
Hence the total work is
Example: Suppose a piston has gas filled initially to a volume
of .5 cu ft and a pressure of 800 lbs/sq ft. The piston expands to
a volume of 1 cu ft. Find the work done by the gas.
Solution: We have P = k/v; 800 = k/.5; k = 400
