The Volume of Cored Sphere

Let S be a sphere of radius R, center at the origin and let C be a cylinder of radius r (r < R) with the z-axis the axis of rotation.  We are concerned with the volume of the part of S outside C.  This cored sphere can also be realized by taking the region bounded by the circle x2 + y2 = R2 and the line x = r and revolving it around the y-axis.  Taking a cross-section perpendicular to the y-axis and revolving it around the y-axis produces a washer.  The inner radius of the washer is r and the square of the outer radius of the washer is R2 - y2.  Let h be the the height of the region (from the x-axis). 

h - R2 - r2

 Hence the area of the washer is

Area =  p[(R2 - y2 ) - r2] = p[(R2 - r2 ) - y2] = p[h2 - y2]

The smallest y value the cross-section will have is -h and the largest is h.

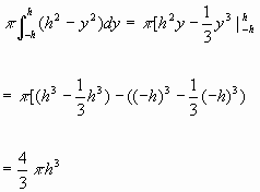
We can write this as an integral

Notice that the volume only depends on the height of the region.