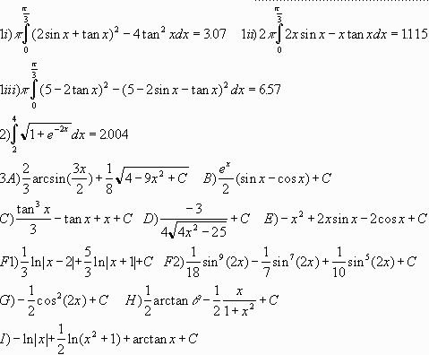
Key to Practice Midterm II