Integrals Involving Arctrig Functions

 

Integrating Involving Inverse Trig

Recall that

       

 

These three formulas immediately imply




Examples

A)          

B)        

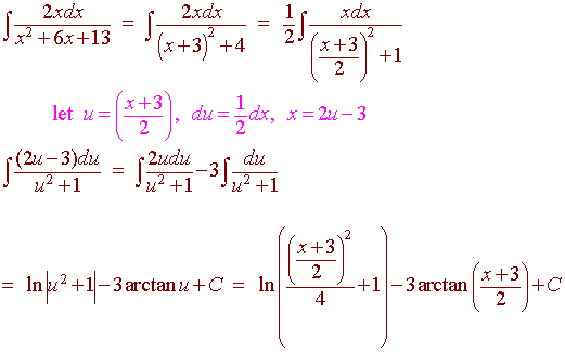
C)          

 



Back to Math 105 Home Page

Back to the Math Department Home

e-mail Questions and Suggestions