Second Fundamental Theorem of Calculus

I.  Quiz

II.  Homework

III.  The Mean Value Theorem For Integrals

Let f be continuous on [a,b] then there is a c in [a,b] such that

We define the average value of f(x) between a and b as

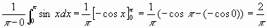
Example: The average value of sin(x) between 0 and p is

V.  The Second Fundamental Theorem of Calculus

Let f be continuous on [a,b] then

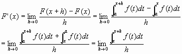
Proof:

If then

The average value theorem states that this integral is equal to

for some value between x and x + h. Taking the limit produced

f(c)

Example:

Example:

(Let and u = x2 ) then