Derivatives The Easy Way

 Constant Rule and Power Rule

We have seen the following derivatives:

  1. If f(x) = c, then f '(x) = 0

  2. If f(x) = x, then f '(x) = 1

  3. If f(x) = x2, then f '(x) = 2x

  4. If f(x) = x3, then f '(x) = 3x2

  5. If f(x) = x4, then f '(x) = 4x3

This leads us the guess the following theorem.

Theorem

      d
            xn  =  nxn-1
     dx 


Proof:

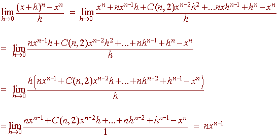
We have

       


Applications

Example

Find the derivatives of the following functions:

  1. f(x) = 4x3 - 2x100

  2. f(x) = 3x5 + 4x8 - x + 2

  3.  f(x) = (x3 - 2)2

Solution  

We use our new derivative rules to find

  1. 12x2 - 200x99

  2. 15x3+32x7-1

  3. First we FOIL to get

            [x6 - 4x3 + 4] ' 

    Now use the derivative rule for powers

            6x5 - 12x2 


Example:

Find the equation to the tangent line to 

        y  =  3x3 - x + 4 

at the point (1,6)

Solution:

        y'  =  9x2 - 1 

at x = 1 this is 8. Using the point-slope equation for the line gives

        y - 6  =  8(x - 1) 

or 

        y  =  8x - 2


Example:

Find the points where the tangent line to 

        y  =  x3 - 3x- 24x + 3 

is horizontal.

Solution:

We find 

        y'  =  3x2 - 6x - 24

The tangent line will be horizontal when its slope is zero, that is, the derivative is zero.  Setting the derivative equal to zero gives:

        3x2 - 6x - 24  =  0 

or

        x2 - 2x - 8  =  0 

or

        (x - 4)(x + 2)  =  0

so that 

        x = 4    or    x = -2


Derivative of f(x) = sin(x)

Theorem

      d
            sin(x)  =  cos(x)
     dx
          

 


Proof:
 






d/dx cos(x)

 

Theorem

       d   
             cos x  =  -sin x
      dx

 

 


Back to Math 105 Home Page

e-mail Questions and Suggestions