|
Division of Polynomials
To divide a polynomial by a monomial, we can divide each term by the monomial.
Example
4x
2 3
Exercises Divide the polynomials
Recall how to perform long division. We will divide
4321 by 6. We see that we follow the steps:
Example Divide
4321 Solution
720 To divide polynomials, we perform the same steps, except that there are x's involved.
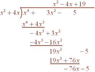
Example Divide
x4
+ 3x2 - 5 Solution We first write in long division form
Next decide what we need to multiply x2 by to get x4. Since (x2)(x2) = x4 we can write
Next, we multiply x2 + 7x and x2.
Now subtract to get and bring down the 3x2 to get
We repeat this process until the degree of the remainder is less than the degree of the denominator.
The final solution is
-76x + 5
Exercises Divide the polynomials.
e-mail Questions and Suggestions
|