Double Integrals

I.  Return Midterm I

II.  Homework

III.  Double Integrals

We define the double integral

where in the inside integral we hold x as a constant.  

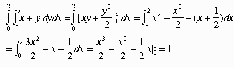
Example:

Exercise: Evaluate

int from 0 to 3 of int from 1 to y of y2 dxdy

IV.  Area

Let R be a region bounded by f(x) < y < g(x), a < x < b then the area of R is given by

Similarly, if c < y < d and f(y) < x < g(y) then

Area = int from c to d int from f(y) to g(y) dxdy

Example:  The area between y = x3 and y = x2  is given by

int from 0 to 1 int from x3 to x2 dx

= int from 0 to 1 of y| from x3 to x2 dx = int from 0 to 1 x2 - x3 dx

= x3/3 - x4/4|from 0 to 1 = 1/12

Exercise:  Find the area bounded by x2 + 2x + 1 and y = 2x + 5

V.  Changing the Order of Integration

Example:  Evaluate

int from 0 to 1 int from 3y to 3 of ex 2 dxdy.

The integral with respect to y is impossible.  Our only hope is to switch the order of integration.

From the picture, we see that 0 < y < x/3 and 0 < x <  1

Hence we can write the integral as

int from 0 to 1 of int from 0 to x/3 of ex 2 dydx

=  int from 0 to 1 of yex 2| from 0 to x/3dx 

= int from 0 to 1 of x/3 ex 2 dx

=  1/3 int from 0 to 1 of eu du

= 1/3 int  eu |from 0 to 1

= 1/3(e - 1)

VI.  Volume

Definition:  Suppose that a solid  R is bounded by the surfaces z = f(x,y) and z = g(x,y), then the volume of R is given by

Exercise:  Find the volume of the solid that is below the surface z = 4 - x2 - y and above the xy-plane in the first octant.