|
Fluid Force Fluid Pressure (Definition)
We define the fluid pressure
P to be equal to the weight density
w times
the depth of the fluid h.
The pressure is equal in all directions
Since
Force on a Submerged Rectangular Sheet
P = wh = (62.4)(5) = 312 The total force on the plate is
PA = (312)(6) = 1872
Force on a Vertical Surface
Example
Solution DF = 62.4(4 + y)(D A) = 62.4(4 + y)(3)(Dy) Hence the total force is
= 1123.2 pounds
In general:
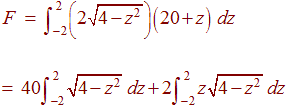
A radius 2 feet circular portal is vertically submerged so that its center is 20 feet below the surface of the water. Find the total force of the water on the portal.
Solution We write s in terms of z by the Pythagorean theorem:
The
depth at this cross-section is We
recognize the first integral as the area of the semi-circle of radius 2.
For the second integral, let Exercise: In the VIP suite, the glass window is in the shape of an equilateral triangle with diagonal length 2 such that the top of the triangle is submerged 5 feet below the water. What total force will this window be subjected to?
Back to the Math Department Home e-mail Questions and Suggestions
|