Trigonometric Substitution

  1. Integration Involving Sqrt(a2 - x2
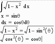
    When we have integrals that involve the above square root, we can use the appropriate substitution.

    Example:

    We have

    The class will try the following:

    1. int x/sqrt(1 - x2) dx

    2. int sqrt(1 - x2)/x4dx

    3. int 1/sqrt(4-9x2)dx 

  2. Two key formulas

    From Trigonometry, we have the following two key formulas:

    A)  sec2 x = 1 + tan2 x  so that sec x = sqrt(1 + tan2 x)

    B)  tan2 x = sec2 x - 1 so that tan x = sqrt(sec2 x - 1)

    When we have integrals that involve any of the above square roots, we can use the appropriate substitution.

    Example:

    The class will try the following:

    1. int x3/sqrt(x2 - 1) dx 

    2. int x2/sqrt(9 +4x2) dx

    3. int 1/sqrt(x2 + 2x) dx