Logs and Derivatives

 

Definition of the Natural Logarithm

Recall that

       

What is

       

 

Definition:  For x > 0 we define

 


Note:  
The Second Fundamental Theorem of Calculus tells us that 

        d/dx (ln x) = 1/x


Properties of ln x

  1. ln 1 = 0

  2. ln(ab) = ln a + ln b

  3. ln(an) = n ln a

  4. ln(a/b) = ln a - ln b

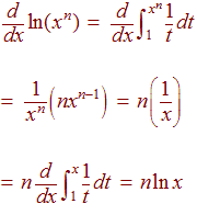
Proof of (3)  

        

So that  

        ln(xn

and 

        n ln x 

have the same derivative.  Hence

        ln(xn) = n ln x + C

Plugging in x = 1 we have that C = 0.



Definition of e

Let e be such that 

        ln e = 1 

ie. 


 

Examples and Exercises

Example

Find the derivative of 

        ln (x2  + 1)

Solution

We use the chain rule with 

        y = ln u,    u = x2 + 1 

                                    
  2x
        y'  =  (2x)(1/u)  =                 
                                     x2 + 1


Find the derivatives of the following functions:

  1. ln (lnx)        1/(x ln x)

  2. (ln x)/x         (1 -ln x) / x^2

     

  3. (ln x)2        (2 ln x) / x

  4. ln (sec x)        tan x

  5. ln (csc x)        -cot x

  6. Show that 

            3 ln x - 4 

    is a solution of the differential equation

            xy'' + y' = 0

  7. Find the relative extrema of 

            x ln x        min at (e^(-1) , -e^(-1) )

  8. Find the equation of the tangent line to 

            y = 3x2 - ln x 

    at (1,3)        y = 5x - 2

  9. Find dy/dx for

            ln(xy) + 2x2 = 30        y'  =  -4xy - y/x

 



Back to Math 105 Home Page

Back to the Math Department Home

e-mail Questions and Suggestions