The First Fundamental Theorem of Calculus

I.  Quiz

II.  Homework Questions

III.  The First Fundamental Theorem of Calculus

Let f be a continuous function on [a,b] and let F'(x) = f(x) then

Proof:  Cut up the interval [a,b] into several pieces with 

a = x0 < x1 < x2 < x3 < ... < xn-1 < xn = b

Then 

F(b) - F(a) = [F(xn) - F(xn-1)] + [F(xn-1) - F(xn-2)] +  [F(xn-2) - F(xn-3)] +... + [F(x2) - F(x1)] +  [F(x1) - F(x0)]   

=

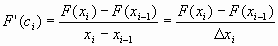
By the mean value theorem there is a  ci between  xi-1  and  xi with 

Clearing the denominator and substituting into the sum gives

Taking the limit as n approaches infinity, gives the definite integral.

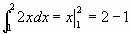
Example:  

We will try many others.

Example:

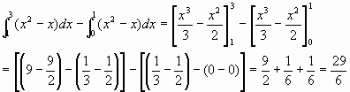
Find the area bounded by the curve y = x2 - x , y = 0,  x = 4

 

Notice that there is area both below the x-axis and above.  We can find: