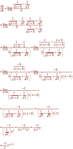
The Derivative of x-1/2

       

Back to the derivative Page