The First Fundamental Theorem of Calculus

The First Fundamental Theorem of Calculus:  Statement and Proof

 
The First Fundamental Theorem of Calculus

Let f be a continuous function on [a,b] and let 

          F'(x) = f(x) 

then

    



Proof:  

Cut up the interval [a,b] into several pieces with 

        a  =  x0  <  x1  <  x2  <  x3  <  ...  <  xn-1  <  xn  =  b

Then 

        F(b) - F(a)  = 

        [F(xn) - F(xn-1)] + [F(xn-1) - F(xn-2)] +  [F(xn-2) - F(xn-3)] +... + [F(x2) - F(x1)] +  [F(x1) - F(x0)]   

        =  

By the mean value theorem there is a  ci between  xi-1  and  xi with 

                         F(xi) - F(xi-1)               F(xi) - F(xi-1)                                            
        F'(ci)  =                                  =                                  
                           xi   -   xi-1                            Dxi 

Multiplying both sides by Dxi gives

        F'(ci)Dxi  =  F(xi) - F(xi-1)    

 

Substituting into the sum gives

       

Taking the limit as n approaches infinity, gives the definite integral.



Examples

Example 1:  

       

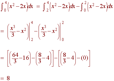
Example 2:

Find the area bounded by the curve

     y = x2 - x , y = 0,  x = 4

         


Notice that there is area both below the x-axis and above.  We can find:

               



Back to Math 105 Home Page

e-mail Questions and Suggestions