Name                                     

 

MATH 204 PRACTICE MIDTERM III

 

Please work out each of the given problems on your own paper.  Credit will be based on the steps that you show towards the final answer.  Show your work.

 

Problem 1 
Solve the given differential equation by means of a power series about x = 0.  Find a recurrence relation and write the final solution in the form

       

        y'' + xy' + 2y  =  0,        y(0)  =  0,     y'(0)  =  1

Solution 

We have

       

Plugging back into the original differential equation gives

       

Now adjust the sums so that they all contain the same powers of x.

       

Now pull out the n = 0 term and combine the sums

       

Next use the initial conditions to get

        a0  =  0        a1  =  1

        2a2 + 2a0  =  0  

Hence

         a2  =  0

The recursion relationship gives

        (n + 2)(n + 1)an+2 + (n + 2)an  =  0

or

                           -an
   
         an+2  =                                 
                           n + 1

Hence all the even coefficients are 0.  The odds are

                                      -1                      1                        -1                         1
        a1  =  1        a3  =                a5  =                  a7  =                  a9  =                    
                                        2                    3
. 4                    3. 4. 6                 3. 4. 6. 8

In general

                             (-1)n                    (-1)n
    a2n+1  =                                  =                           
                        
2. 4. 6. .... (2n)            2n n!

The general solution is 

       

        

 

 

 

 

 

 

 

 

 

 

 

 

 

 

 

        

Problem 2 

Determine the general solution of the differential equation that is valid in any interval not including the singular point. 

        x2y'' - xy' + y  =  0      

Solution

We let

        y  =  xr

Then 

        y'  =  rxr-1        y''  =  r(r - 1)xr-2

Substituting back into the original equation gives

        r(r - 1)xr - rxr + xr  =  0

        r2 - r - r + 1  =  r2 - 2r + 1  =  0

        (r - 1)2  =  0

        r  =  1 (repeated twice)

Hence

        y  =  (c1 + c2 ln|x|) |xr|

                  

 

 

 

 

 

 

 

 

 

 

 

 

 

 

 

                                   

Problem 3 

Solve the following differential equation

           

            y(0)  =  y'(0)  =  0

Solution

Since this is a piecewise defined differential equation, we use the method of Laplace Transforms.  

        L(y'') + 4L(y)  =  L(g)  =  L[sin t (1 - u2p(t))  =  L(sin t) - L[(sin t) u2p(t)]

                                          1                     1
        s2L(y) + 4L(y)  =              - e-2ps               
                                       s2 + 1              s2 + 1

Solving for L(y), we get

                                                1
        L(y)  =  (1 - e-2ps                             
   
                                     (s2 + 1)(s2 + 4)

Now use partial fractions 

                   1                        As + B            Cs + D
                                      =                      +                        
   
        (s2 + 1)(s2 + 4)            s2 + 1             s2 + 4

or

        (As + B)(s2 + 1) + (Cs + D)(s2 + 4)  =  1

        As3 + Bs2 + As + B + Cs3 + Ds2 + 4Cs + 4D  =  0

Equating coefficients gives

        A + C  =  0        B + D  =  0        A + 4C  =  0        B + 4D  =  0

This has solution 

        A  =  0        B  =  -1/3        C  =  0        D  =  1/3

Putting this together gives

                       1                           1                   1
         L(y)  =        (1 - e-2ps                    -                        
   
                    3                       s2 + 4             s2 + 1

 

                       1        1                   1                     e-2ps           e-2ps
         L(y)  =                         -                  -                  +                )
   
                    3       s2 + 4            s2 + 1            s2 + 4          s2 + 1 

Now take the inverse Laplace Transform to get

        y  =  1/3 ( sin(2t) - sin t - u2p sin(2t) + u2p sin t)

        

 

 

 

 

 

 

 

 

 

 

 

 

 

 

 


            

Problem 4 

Find the general solution of the given system of equations and describe the behavior of the solution as .

           

Solution

Find the eigenvalues and eigenvectors of the matrix.

       

        =  (-2 - l)(-2 - l) - 1  =  l2 + 4l + 4 - 1

        =  l2 + 4l + 3  =  (l + 3)(l + 1)  =  0

Thus the eigenvalues are 

        l  =  -3        and        l  =  -1

Now find the eigenvectors

        v-3:  Plugging in -3 for l, we get

       

Which has (1,-1) in its null space.

        v-1:  Plugging in -1 for l, we get

       

Which has (1,1) in its null space.

The solution is 

       

or

        x1  =  c1e-3x + c2e-x

        x2  =  -c1e-3x + c2e-x        

        

   

 

 

 

 

 

 

 

 

 

 

 

 

 

 

 

Problem 5 

An electric circuit  is describes by the system of differential equations

 

       

 

A.     Suppose that R = 1 ohm, C = ½ farad, and L = 1 henry.  Find the general solution of the system in this case.

Solution

Plugging in the numbers we get the matrix

      

Now find the eigenvalues 

       

Take the determinant to get 

        (-l)(-2 - l) + 2  =  l2 + 2l + 2  =  0

The roots of this quadratic are 

        -1 + i        and         -1 - i

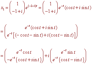
v-1+i:  Plugging in -1 + i for l, we get

       

The first row gives

        (1 - i)x + y  =  0

        y  =  (-1 + i)x

So the corresponding eigenvector is 

        v-1+i  =  (1,-1 + i)

We have

       

Hence the general solution is given by

       

That is

        I(t)  =  c1e-t cost + c2e-t sin t

        V(t)  =  c1e-t(-cos t - sin t) + c2e-t (cos t - sin t)

        

 

 

 

 

 

 

 

 

 

 

 

 

 

 

 

B.      Find I(t) and V(t) if I(0) = 2 amperes and V(0) = 1 volt.

Solution

Plug in to get

        0  =  c1        

        1  =  -c1 + c2 

The solution is 

        I(t)  =  e-t sin t

        V(t)  =  e-t (cos t - sin t)

 

 

 

 

 

 

 

 

 

 

 

 

 

 

 

 

C.     For the circuit of part A. determine the limiting values of I(t) and V(t) as .  Do these limiting values depend on the initial conditions?  

Solution

Since the e-t term dominates all expressions, both the current and voltage will drop to zero as time approaches infinity independent of the initial conditions.

 

 

 

 

 

 

 

 

 

 

 

 

 

 

 

 

 

Problem 6  Please answer the following true or false.  If true, explain why.  If false, explain why or provide a counter-example.

 

A.    If  f(x)  is a function that is not continuous at x  =  2 , then the Laplace transform of  f(x)  is also not continuous at x =  2 .  

Solution

        False, consider u2(t) which is not continuous at 2.  The Laplace transform is e-2s / s which is continuous at 2.

 

 

 

 

 

 

 

 

 

 

 

 

 

 

 

B.   Let      be a solution of the differential equation

            x                     1  
              y''  +                y'  + (sin x)y  =  0
    x + 4              x - 2                

 then  x  =  -1  is in the interval of convergence of y(x).  

Solution

False, the solution converges inside (0,2) which does not contain -1.