Partial Derivatives

Definition of a Partial Derivative

Let f(x,y) be a function of two variables.  Then we define the partial derivatives  as
    Definition of the Partial Derivative 

       


if these limits exist.  

Algebraically, we can think of the partial derivative of a function with respect to x as the derivative of the function with y held constant.  Geometrically, the derivative with respect to x at a point P represents the slope of the curve that passes through P whose projection onto the xy plane is a horizontal line.  (If you travel due East, how steep are you climbing?)

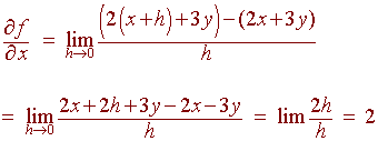
Example

Let 

        f(x,y) = 2x + 3y 

then

       

We also use the notation fx  and fy for the partial derivatives with respect to x and y respectively.

Exercise:  

Find fy for the function from the example above.


Finding Partial Derivatives the Easy Way

Since a partial derivative with respect to x is a derivative with the rest of the variables held constant, we can find the partial derivative by taking the regular derivative considering the rest of the variables as constants.

Example
 
 
Let 

        f(x,y)  =  3xy2 - 2x2y

then 

        fx  =  3y2 - 4xy

and

        fy  =  6xy - 2x2

Exercises

 Find both partial derivatives for

  1. f(x,y) = xy sin x

  2.                 x + y
    f(x,y) =                     
                    x - y


Higher Order Partials

Just as with function of one variable, we can define second derivatives for functions of two variables.  For functions of two variables, we have four types:

        fxx,     fxy     fyx     and     fyy

Example

Let 

        f(x,y)  =  y ex  

then 

        fx  =  yex

and

        fy  =  ex

Now taking the partials of each of these we get:

        fxx = y ex        fxy = ex        fyx = ex       and       fyy = 0

Notice that    

        fxy  =   fyx  

                                     Theorem  

Let f(x,y) be a function with continuous second order derivatives, then 
  
       
    fxy  =   fyx  



Functions of More Than Two Variables

Suppose that 

        f(x,y,z)  =  xy - 2yz 

is a function of three variables, then we can define the partial derivatives in much the same way as we defined the partial derivatives for three variables.  

We have

        fx = y         fy = x - 2z      and       fz = -2y

Application:     The Heat Equation

Suppose that a building has a door open during a snowy day.  It can be shown that the equation

        Ht  =  c2Hxx     

models this situation where H is the heat of the room at the point x feet away from the door at time t.  Show that 

        H = e-t cos(x/c) 

satisfies this differential equation.

Solution

We have

        Ht  =  -e-t cos(x/c) 

        Hx  =  -1/c e-t sin(x/c)

        Hxx  =  -1/c2 e-t cos(x/c)

So that 

        c2Hxx  =  -e-t cos(x/c)

And the result follows.

 



Back to the Functions of Several Variables Page

Back to the Math 107 Home Page

Back to the Math Department Home Page

e-mail Questions and Suggestions