Name                                    

 

MATH 105 FINAL

Please work out each of the given problems.  Credit will be based on the steps that you show towards the final answer.  Show your work.

 

PROBLEM 1 Please answer the following true or false.  If false, explain why or provide a counter example.  If true, explain why.

 

A)  If f(x) is a differentiable function that passes through the origin such that f '(x) > 2  for all x, then f(5) cannot equal 10.

Solution

True, by the Mean Value Theorem, if f(5) = 10 then there is a c between 0 and 5 with

                             f(5) - f(0)            10 - 0
            f '(c)  =                         =                   =  2
                                5 - 0                    5             

 

 

 

 

 

 

 

 

 

 

B)  If f(x) is a continuous function such that f '(0)  =  2,  f '(1)  =  0, and f '(2)  =  -3 then f(x)  has a relative maximum at x = 1.

Solution

False,  The first derivative test needs that within a neighborhood of x  =  1 all values to the left have positive derivative and all values to the right have negative derivative.

 

 

 

 

 

 

 

 

 

 

C)  Suppose that h(x)  =  g '(x) and that f(x) and h(x) are continuous.  Then if g(a)  =  g(b),

        

 Solution

True, use u-substitution with u  =  g(x)du  =  g '(x), then when x  =  a,   u  =  g(a) and when x  =  b,    u  =  g(a)  also.  Since the bottom and top limit are the same, the integral is zero.

 

 

 

 

 

 

 

 

 

 

PROBLEM 2   Find the derivative of

A.    f(x)  =  x cos(x2) 

Solution

        We use the product and chain rule.  Since the derivative of

            cos(x2

is

            (2x)(-sin(x2))  =  -2x sin(x2)

The product rule gives

        f '(x)  =  (x)(-2x sin(x2)) + (1)(cos(x2))  =  -2x2 sin(x2) + cos(x2)

 

 

 

 

 

 

 

 

 

 

 

 

B.                      x2 - 1
           f(x)  =                    
                          x2 + 1

 

Solution

       Use the quotient rule

                             (x2 + 1)(2x) - (x2 - 1)(2x)
           f '(x)  =                                                       
                                         (x2 + 1)2
       

 

                    2x3 + 2x - 2x3 + 2x
           =                                          
                            (x2 + 1)2
       

 

                          4x
             =                        
                    (x2 + 1)2
       

 

 

 

 

 

 

 

 

 

 

 

PROBLEM 3   Find the limit if it exist

       

 Solution

        Multiply numerator and denominator by the conjugate

       

 

 

 

 

 

 

 

 

 

 

PROBLEM 4 Evaluate the following integrals.

A)            

Solution

        Let u  =  x2 - 2x + 6,        du  =  (2x - 2)dx,    (x - 1)dx  =  du/2

        When x  =  1,    u  =  5    and when x  =  3,    u  =  9.

        We get

       

 

       

 

 

 

 

 

 

 

 

 

 

 

B)  

  Solution

        First FOIL out and then integrate:

       

 

 

 

 

 

 

 

 

 

 

PROBLEM 5 (35 Points) You have a camera that rotates automatically positioned 400m from the space shuttle launch pad.  When the space shuttle is 300m from the ground the shuttle is moving at 20 meters per second.  How fast should your camera rotate at that instant?

Solution

        First we sketch the picture and label variables

 

Now use the trigonometry formula:

        tan q  =  y/400

Now take the derivative of both sides with respect to t:

        sec2q dq/dt  =  1/400 dy/dt

Next plug in y  =  300 and use the triangle to find sec2qNote that this is a 300-400-500 triangle, so that 

        sec2q   =  (5/4)2 

We have

        (25/16)dq/dt  =  (1/400) 20  =  1/20

Hence

        dq/dt  =(1/20)(16/25)  =  4/125 radians per second

 

 

 

 

 

 

 

 

 

 

 

PROBLEM 6  (35 Points) Use right sums with n = 200 to approximate the area under the curve y  =  2x + 1,  above the x-axis between x = 4 and x = 10.

  Solution:

We have

       

 

 

 

 

 

 

 

 

 

 

PROBLEM 7 (35 Points) Let   Find F '(x).

  Solution

        We use the chain rule, a property of integrals and the second fundamental theorem of calculus:

        u  =  1 - x2        u'  =  -2x    

       

Putting this all together gives

        F '(x)  =  (-2x)(-ln(u2 + 1))  =  2x ln[(1 - x2)2 + 1]       

 

 

 

 

 

 

 

 

 

 

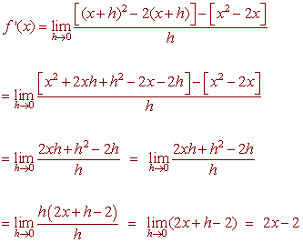
PROBLEM 8 (35 Points) Use the limit definition of the derivative to find the derivative of

        f(x)  =  x2 - 2x

  Solution

       

 

 

 

 

 

 

 

 

 

 

PROBLEM 9  Let

                          1
        f(x)  =                 
                       1 - x2

  Determine any relative extrema, inflection points, intervals where y  =  f(x) is increasing, intervals where y  =  f(x) is concave up, and any asymptotes.  Then use this information (not you calculator!) to graph the function.

Solution

We have 

        f '(x)  =  2x(1 - x2) -2 

Hence there is a critical point at (0,1).  There are also vertical asymptotes at 

        x  =  1     and     x  = -1

For x  < -1,  f '(x)  <  0

For -1  <  x  <  0,    f '(x)  <  0

For 0  <  x  <  1,    f '(x)  >  0

For 1  <  x,    f '(x)  >  0

Hence the graph is decreasing on (-, -1) U (-1, 0)

and increasing on (0, 1) U (1, )

By the first derivative test, there is a minimum at (0,1).

We have 

        f ''(x)  =  2(1 - x2) -2 + (2x)(-2x)(-2)(1 - x2) -3

        2(1 - x2) -2 + (8x2)(1 - x2) -3 

        =  (1 - x2) -3 [2 - 2x2 + 8x2]  

        =  (1 - x2) -3 [2 + 6x2]  

Since f ''(x) is never zero there are no inflection points.  We can check for concavity:

When x  < -1,    f ''(x)  <  0

When -1  <  x  <  1,    f ''(x) >  0

When  1  <  x,    f ''(x)  <   0

So the graph is concave down on (-, -1) U (-1, ) and concave up on (-1, 1).  The graph is shown below:

 

 

 

 

 

 

 

 

 

 

 

 

PROBLEM 10 

 Below is the graph of y  =  f(x) .  Sketch the graph of y  =  f '(x).

 

Solution