Trigonometric Substitution

Integration Involving

When we have integrals that involve the above square root, we can use the appropriate substitution.

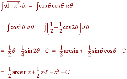
Example:

       

We have

       

Exercises

  1.  






 

Two Key Formulas

From Trigonometry, we have the following two key formulas:


  1.          sec2 x = 1 + tan2 x  

    so that 

             

  2. tan2 x = sec2 x - 1 

    so that 

           



When we have integrals that involve any of the above square roots, we can use the appropriate substitution.

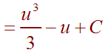
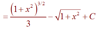
Example:       

       

                       

                                       

                                       

       

       

       

       

                                       

       

       

       

       

       
Exercises:

A. 

 

B. 

 

C. 

 



Back to Techniques of Integration Page

Back to Math 106 Home Page

Back to the Math Department Home

e-mail Questions and Suggestions