|
Surface Area
Definition of Surface Area In first year calculus we have seen how to find the surface
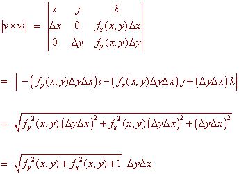
area of revolution. Now that we how Area = DyDx The area of the corresponding piece of the surface will not be DyDx since it is not a rectangle. Even if we cut finely, we will still not produce a rectangle, but rather will approximately produce a parallelogram. With a little geometry we can see that the two adjacent sides of the parallelogram are (in vector form) u = Dx i + fx(x,y)Dx k and v = fy(x,y)Dy i + Dy k We can see this by realizing that the partial derivatives are the slopes in each direction. If we run Dx in the i direction, then we will rise fx(x,y)Dx in the k direction so that rise/run = fx(x,y) Which agrees with the slope idea of the partial derivative. A similar argument will confirm the equation for the vector v. Now that we know the adjacent vectors we recall that the area of a parallelogram is the magnitude of the cross product of the two adjacent vectors. We have
This is the area of one of the patches of the quilt. To find the total area of the surface, we add up all the areas and take the limit as the rectangle size approaches zero. This results in a double Riemann sum, that is a double integral. We state the definition below.
Examples Example Find the surface area of the part of the plane z = 8x + 4y that lies inside the cylinder x2 + y2 = 16
Solution We calculate partial derivatives fx(x,y) = 8 fy(x,y) = 4 so that 1 + fx2(x,y) + fy2(x,y) = 1 + 64 + 16 = 81 Taking a square root and integrating, we get
We could work this integral out, but there is a much easier way. The integral of a constant is just the constant times the area of the region. Since the region is a circle, we get Surface Area = 9(16p) = 144p
In reality, since there is a square root in the formula, most surface area calculations require intensive integration skills or the use of a machine. The prior example and the next example are not meant to deceive, but rather to show how the essence of surface area problems work without the integration difficulty clouding your understanding.
Example Find the surface area of the part of the paraboloid z = 25 - x2 - y2 that lies above the xy-plane.
Solution We calculate partial derivatives fx(x,y) = -2x fy(x,y) = -2y so that 1 + fx2(x,y) + fy2(x,y) = 1 + 4x2 + 4y2 At this point if we listen closely, we should hear a little voice pleading "Polar Coordinates". We listen to its call and realize that the region is just the circle r = 5 Now convert the integrand to polar coordinates to get Now let u = 1 + 4r2 du = 8rdr and substitute
Back to the Multiple Integration Home Page Back to the Vector Calculus Home Page Back to the Math Department Home Page e-mail Questions and Suggestions
|