Paired Differences 

Paired Data: Hypothesis Tests

Example

Is success determined by genetics?

The best such survey is one that investigates identical twins who have been reared in two different environments, one that is nurturing and one that is non-nurturing.  We could measure the difference in high school GPAs between each pair.  This is better than just pooling each group individually.  Our hypotheses are

        Ho:  md  =  0

        H1:  md  >  0

where md is the mean of the differences between the matched pairs.  

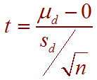
We use the test statistic

t = (mu_d - 0)/(s_d/root(n))

where sd is the standard deviation of the differences.  

We use n - 1 degrees of freedom, where n is the number of pairs.

 


Paired Differences: Confidence Intervals

To construct a confidence interval for the difference of the means we use:

xd t sd/

 

Example

Suppose that ten identical twins were reared apart and the mean difference between the high school GPA of the twin brought up in wealth and the twin brought up in poverty was 0.07.  If the standard deviation of the differences was 0.5, find a 95% confidence interval for the difference.  Assume the distribution of GPA's is approximately normal.

 

Solution

We compute 

       

or

        [-0.29, 0.43]

We are 95% confident that the mean difference in GPA is between -0.29 and 0.43.  Notice that 0 falls in this interval, hence we would fail to reject the null hypothesis at the 0.05 level.

 


Back to the Hypothesis Testing Home Page

Back to the Elementary Statistics (Math 201) Home Page

Back to the Math Department Home Page

e-mail Questions and Suggestions