|
Suppose you want to construct a 95% confidence interval for the mean age that people have their wisdom teeth removed. If you know that the standard deviation is 1.8 and you want a margin of error of no more than plus or minus 0.2 years, at least how many people must you survey?
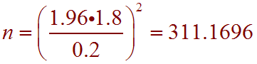
We use the formula:
Now write down the cast of characters: s = 1.8 E = 0.2 c = 0.95 z = 1.96 Plug in to get
Next note that we can't survey a fractional number of people. For sample size calculations we always round up. We can conclude that in order to construct this 95% confidence interval with a margin of error of no more than plus or minus 0.2 years we need to survey at least 312 people. |