You have just conducted a preliminary survey of 22 students asking them how many times a week they eat in fast food restaurants.  The standard deviation for this survey was 2.8.  If you want to construct a 95% confidence interval for the mean number of times per week students eat in fast food restaurant and have a margin of error no more than plus or minus 0.05, at least how many additional students must you survey?


Solution

We use the formula:

n=(z sigma / E)^2

Now write down the cast of characters:

s = 2.8

E = 0.05

c = 0.95

z = 1.96

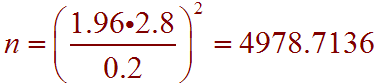
Plug in to get

n=(1.96*2.8/0.05) = 4978.7136

Next note that we can't survey a fractional number of people.  For sample size calculations we always round up.  We need to survey a total of 4979 students.  Since we have already surveyed 22 students, we subtract 22 from the total to get

4979 - 22  =  4957

We can conclude that in order to construct this 95% confidence interval with a margin of error of no more than plus or minus 0.05 years we need to survey at least 4957 more students.

Back to the handout