Continuous Random Variables

Definition of a Probability Density Function

Since we have all grown up with the concept of probability, there are certain facts that are already intuitively clear.  There cannot be less than a 0 percent chance of something occurring.  Also given an experiment, if you add up the probabilities for all of the possible events the sum should be 100%.

This is, 

        P(E) > 0     and        SP(E)  =  1

where the sum is taken over all possible simple events.  

This idea work well for discrete random variables, however if the range of outcomes is the real line or an interval, things get more complicated.  We call a random variable whose values are all the real numbers or intervals continuous random variables.  For continuous random variables, it does not make sense to add up all the probabilities, however the integral extends the idea of integration.  This leads us to the key definition.

Definition of a Probability Density Function

Let f be a function of a continuous random variable with domain [a,b] and with f(x) > 0.  Then if 

         

then f is called a probability density function.  and we define

         

Remark:  It is possible to have the limits be   .

 

Example

Let 

        f(x)  =  x + 0.5

be a function of a continuous random variable defined on [0,1].  Show that f(x) is a probability density function.

 

Solution

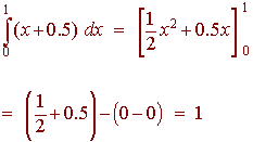
Clearly, f(x) > 0 on [0,1], hence we need only to check that the integral equals 1.

       

 

Example

Find k such that 

        f(x)  =  ke-2x 

is a probability density function defined on [0, ].  Then find P(0 < x < 0.8)

Solution

We have

       

 

Since this integral must equal 1, we get

        k  =  2

Next,

       


Application

The probability density function for the result of asking 1000 people if they think that the president is doing a good job is defined by 

       

Find the probability that more than 54% of 1000 randomly selected people think that the president is doing a good job.

 

Solution

We want to find

              P(0< x < 0.54)

We use the definition to get

       

We use a calculator to get the estimate of 0.135.  Hence there is a 13.6% probability that more than 54% of these 1000 people will think that the president is doing a good job.

 


Back to the Math 117 Home Page

Back to the Math Department Home

e-mail Questions and Suggestions