Math 116 Practice Final Key

Please work out each of the given problems.  Credit will be based on the steps that you show towards the final answer.  Show your work

Problem 1  Find the derivative of the following functions

A.  f(x)  =  ln(ln(1 - x))

Solution

We use the chain rule.  We have

        u  =  1 - x        u'  =  -1

        v  =  ln(u)        v'  =  1/u

        f(v)  =  ln(v)     f '(v)  =  1/v

Hence

        f '(x)  =  (-1)(1/u)(1/v) 

                        -1
         =                                   
                (1 - x)(ln(1 - x))

 

 

 

 

 

 

 

 

 

 

 

 

 

 

 

 

 

 

 

 

 

B. 

Solution

We have

       

Let

        u  =  x2ln x        u'  =  2x ln x  +  x2(1/x)  =  2x ln x  +  x

        f(u)  =  eu        f '(u)  =  eu 

Hence 

        f '(x)  =  eu (2x ln x  +  x)

       

          

 

 

 

 

 

 

 

 

 

 

 

 

 

 

 

 

 

 

 

 

 

C.                     ex
        f(x)  =              
                     sin x

Solution

We use the quotient rule.  We have

                         (sin x)ex - ex(cos x)               ex(sin x - cos x)
        f '(x)   =    
                                      =                                            
                                    sin2 x                                  sin2 x

 

 

 

 

 

 

 

 

 

 

 

 

 

 

 

 

 

 

 

 

 

 

Problem 2  Evaluate the following integrals

A. 

Solution

We use integration by parts

        u  =  x        dv  =  e2x dx        w  =  2x     dw  =  2dx     1/2 dw  =  dx

        du  =  dx       v  =  1/2 e2x 

We get

       

 

 

 

 

 

 

 

 

 

 

 

 

 

 

 

 

 

 

 

 

 

B. 

We use partial fractions here

        3x + 1                A                B
                          =                 +             
        x2 - x - 6           x - 3           x + 2

or

        3x + 1  =  A(x + 2)  +  B(x - 3)

Let  x  =  3:  10  =  5A        A  =  2

Let  x  =  -2:  -5  =  -5B       B  = 1

This gives us

       

 

 

 

 

 

 

 

 

 

 

 

 

 

 

 

 

 

 

 

 

 

 

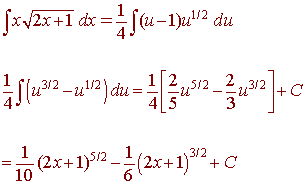
C. 

We use u-substitution

        u  =  2x + 1        du  =  2dx  

        x  =  1/2 u - 1/2    dx  =  1/2 du

We have

       

 

 

 

 

 

 

 

 

 

 

 

 

 

 

 

 

 

 

 

 

 

 

D. 

Solution

This is an improper integral, we use u-substitution with 

        u  =  x3      du  =  3x2 dx        1/3u  =  x2 dx

We have

       

 

 

 

 

 

 

 

 

 

 

 

 

 

 

 

 

 

 

 

 

 

E. 

Solution

We let 

        u  =  cos x        du  =  -sin x dx

We get

       

 

 

 

 

 

 

 

 

 

 

 

 

 

 

 

 

 

 

 

 

 

 

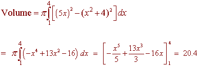
Problem 3

Find the volume of the solid formed by revolving the region bounded by the curves 

        y  =  x2 + 4        and        y  =  5x

about the x-axis.

 

Solution

We first graph the two equations and revolve a cross section about the x-axis.

       

To find the intersection points, we set the equations equal to each other.  We have

        x2 + 4  =  5x  

        x2 - 5x + 4  =  0

        (x - 4)(x - 1)  =  0

        x  =  4    or    x  =  1

Notice that the top curve is y  =  5x and the bottom curve is  y  =  x2 + 4.  The area of the washer is 

        A  =  pR2 - pr2 

        R  =  5x        r  =  x2 + 4

Putting this all together gives

       

        

 

 

 

 

 

 

 

 

 

 

 

 

 

 

 

 

 

 

 

 

 

Problem 4

In 1980 there were 200 reported cases of the HIV virus.  Is has been predicted that the number of HIV cases will eventually level off at about 80,000,000.  Determine the year when the number infected will hit 50,000,000 solving the differential equation 

        dP 
                    =  .01P(80,000,000 - P)
        dt

Solution

We integrate

       

The right hand integral is 0.3t + C.  For the left hand integral we use partial fractions.  We have

                   1                               A                       B
                                          =                +                               
        P(80,000,000 - P)                P              80,000,000 - P

So that

        1  =  A(80,000,000 - P) + BP

Let P  =  80,000,000:  1  =  80,000,000B         B  =  1/80,000,000

Let P  =  0:  1  =  80,000,000A        A  =  1/80,000,000

Now integrate to get

              1                                1
                           lnP  -                          ln(80,000,000 - P)  =  .01t + C
       80,000,000                80,000,000 

Multiplying by 80,000,000 gives 

        lnP -  ln(80,000,000 - P)  =  24,000,000t + M        M  =  80,000,000C

Plugging in P  =  200 when t  =  0 gives

        M  =  ln 200  -  ln(80,000,000 - 200)  =  -12.9

We want the year when P  =  50,000,000.  We have

        ln 50,000,000 - ln 30,000,000  =  0.3t - 12.9

        .51  =  0.3t - 12.9        t  =  44.7

We can conclude that in 2025, the HIV virus will have infected 50,000,000 people.

 

 

 

 

 

 

 

 

 

 

 

 

 

 

 

 

 

 

 

 

 

 

Problem 5

The GNP growth since 1980 can be modeled by the equation

        y   =  3 cos(0.8t) + 2

A.  Find the period of this function and explain what this says about growth.

Solution

We have 

        Period  =  2p/.8  =  7.85 

This means that there is a growth cycle that repeats itself every 7.85 years.

 

 

 

 

 

 

 

 

 

 

 

 

 

 

 

 

 

 

 

 

 

 

B.  What is the maximum growth and when does it occur?  (Use calculus to show this).

Solution

We find the derivative using the chain rule.

        u  =  .8t        u' = .8

        f(u)  =  3cos u  + 2        f '(u)  =  -3sin u

        y'  =  (.8)(-3sin(.8t))  =  -2.4sin(.8t)

This is zero when 

        .8t  =  kp           t  =  kp/.8  =  3.9k

The second derivative is 

        y''  =  (.8)(-cos(.8t))

which is negative for k even.  Hence the maximum occurs every 7.85 years beginning towards the end of 1980.  The maximum is 

        3 cos(0.8(0)) + 2  =  5

 

 

 

 

 

 

 

 

 

 

 

 

 

 

 

 

 

 

 

 

 

 

Problem 6

The rate of which a pill is dissolved when it enters the body is given by

        dy                 et 
                    =                      
        dt                1 + t2

Use Simpson's Rule with n  =  4 to determine the total amount of the pill that is dissolved during the first 4 minutes.

Solution

We have

        (4 - 0)           e0               e1                 e2                e3              e4          
                     [                 +                  +                 +               +                 ]       
         3(4)          1 + 02          1 + 12          1 + 22         1 + 32        1 + 42 

        =  3.02

 

 

 

 

 

 

 

 

 

 

 

 

 

 

 

 

 

 

 

 

 

 

Problem 7

Find the area between the curves 

        y = ln x         y  =  sin x         x  =  1         and         x  =  2

Solution

We sketch the graph

       

We see that the top curve is y  =  sin x and the bottom curve is y  =  ln x.  We have

       

The second integral is the challenge.  We use integration by parts.

        u  =  ln x        dv  =  dx

        du  =  1/x dx    v  =  x

We have