Partial Fractions 

The Fundamental Theorem of Algebra


The fundamental theorem of algebra states that if P(x) is a polynomial of degree n then P(x) can be factored into linear factors over the complex numbers.  Furthermore, P(x) can be factored over the real numbers as a product of linear and quadratic terms and any rational function can be split up as a sum of rational function with denominators of the form 

        (x - r)n 

or 

        x2 + Ax + B


Partial Factions

Example

Consider the rational function

                      3x + 2                   3x +2
        P(x) =                    =                                
                       x2 - 1               (x - 1)(x + 1)

We want to write it in the form

                 3x + 2                       A                 B
                                       =                  +               
             (x - 1)(x + 1)              x - 1            x + 1

To do this we need to solve for A and B.  Multiplying by the common denominator

        (x - 1)(x + 1) 

we have

        3x  + 2 = A(x + 1) + B(x - 1)  

Now let x = 1

        5 = 2A + 0

        A = 5/2

Now let x = -1

        -1 = -2B

        B = 1/2

Hence we can write

             3x + 2               5/2              1/2
                            =                   +               
             x2 - 1              x - 1             x + 1

This is called the partial fraction decomposition of P(x)


Example 2

Find the Partial Fraction Decomposition of

                       3x2 + 4x + 7               3x2 + 4x + 7
        P(x) =                              =                                     
                       x3 - 2x2 + x                    x(x-1)2
                                                

We write

               3x2 + 4x + 7               A                    B                   C
                                      =                     +                       +            
                   x(x-1)2                  x - 1             (x - 1)2              x

Multiplying by the common denominator, we have

        A(x)(x - 1) + Bx + C(x - 1)2  = 3x2 + 4x + 7

Let x = 0:

        C = 7

Let x = 1:

We have 

        B = 14

Now look at the highest degree coefficient:

        Ax2 + Cx2  = 3x2

Dividing by x2 and substituting C = 7

        A + 7 = 3,     A = - 4

We conclude that

               3x2 + 4x + 7              - 4                  14                   7
                                      =                     +                       +            
                   x(x-1)2                  x - 1             (x - 1)2              x


Integration

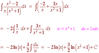
Example:  Evaluate

       

We write

               x2 - 2                    A              Bx + C             
                                  =                 +                        
              x(x2 +1)                 x                x2 + 1          

Multiplying by the common denominator, we have

        A(x2 + 1) + (Bx + C)x = x2 - 2

Let x = 0

        A = -2

Hence

        (Bx + C)x = x2 - 2 + 2x2 + 2 = 3x2

So that

        Bx2 + Cx = 3x2

We see that B = 3 and C = 0

Hence

       


Exercise

Find

       


Logistics Growth




It has been said that the total population of South Lake Tahoe should never exceed 30,000 people.  If in 1980 the population was 15,000 and in 2000 it was 20,000, when will the population reach 25,000?

Solution:  

We make the assumption that the rate of increase of the population is proportional to the product of the current population and 30,000 minus the current population. That is:

           dP
                    =  kP(30,000 - P)    
           dt 


This is a separable differential equation.  Separating gives

                    dP
                                         = kdt
          P(30,000 - P)

Now integrate both sides.  The right hand side is 

        kt + C

To integrate the right hand side, use partial fractions:

                 1                       A                   B    
                                  =             +                            
   
     P(30,000 - P)            P              30,000 - P
        

Multiplying by the common denominator:

        1 = A(30,000 - P) + BP  

        P = 0:      1 = 30,000A     or     A = 1/30,000

        P = 30,000:  1 = 30,000B     or     B = 1/30,000

Now integrate to get

             1                      1
                       lnP -                ln(30,000 - P)  =  kt + C 
        30,000              30,000

or

                     P     
        ln                          =  at + b
              30,000 - P

When t = 0, P = 15,000, so

        b = 0

When t = 20, P = 20,000, so

        20a = ln2 

or 

                    ln 2
         a =                   
                    20

hence

                     P                        t ln 2
        ln                          =                      
              30,000 - P                  20



Finally

                    t ln 2
        ln 5 =                  
                      20

or

                20 ln 5
        t =                    = 46.4 
                  ln 2

The population will reach 2500 in the year 2026.


Partial Fractions Exercises

Exercises

A. 

B . 

C. 

D. 

 



Back to Techniques of Integration Page

Back to Math 106 Home Page

Back to the Math Department Home

e-mail Questions and Suggestions