MATH 106 MIDTERM 3

Please work out each of the given problems.  Credit will be based on the steps that you show towards the final answer.  Show your work.

PROBLEM 1  

You are constructing the newest resort at the bottom of Lake Tahoe (which is 1654 feet deep).  Your resort will feature a giant vertical circular window of radius 50 feet such that the bottom of the window lies on the bottom of the lake.  How much total fluid force will the window have to withstand?  (The density of fresh water is 62.4 pounds per cubic foot).       

Solution

We first calculate the area

        Area  =  2xDy  =  2Dy

Since the depth of the lake is 1654 feet and the circle has a radius of 50 feet, the center of the circle is at a depth of 1604 feet.  Hence setting the origin at the center of the circle we get 

        Depth  =  1604 - y

Integrating the pressure times the area times the depth gives

       


(The first integral is the area of a semicircle and the second integral is 0 since it is an odd function)

        =  786,101,880 pounds

  

 

PROBLEM 2 (17 Points)

A semicircular piece of glass of constant density and radius 6 inches is to be attached to a string so that the string balances the glass perfectly.  Where should the string be attached?

Solution

We have 
        f 2(x)  =  36 - x2

        M  =  1/2 pr2  =  18p 

       

Dividing Mx by M gives 

        x  =  144/18p  =  8/p  

We put the pin horizontally at the center of the circle and 8/p units above the base.

 

PROBLEM 3  (15 Points Each)

Integrate the following:

 

  1.        
       
    Solution
    We use partial fractions:

            2x + 1                 A          Bx + C
                               =             +                        
            x(x2 + 1)              x            x2 + 1

            A(x2 + 1) + (Bx + C)x  =  2x + 1

    Let  x  =  0 then
            
            A  =  1

    So that 

            x2 + 1 + Bx2 + Cx  =  2x + 1

    Hence Cx  =  2x so that C  =  2 and     

            x2 + Bx2  =  0 

            B  =  -1

    Now integrate


           

            
    =  ln|x|  -  1/2 ln(x2 + 1)  +  2tan-1 x  + C


  2.  

    Solution 

    We use the trig identity

            tan2(2x)  =  sec2(2x) - 1

    So that 

            tan4(2x)  =  (sec2(2x) - 1) tan2(2x)  =  (sec2(2x)tan2(2x)) -  (tan2(2x))

            =  tan2(2x)sec2(2x) - sec2(2x) + 1

    Now let

           
      u  =  2x    du  =  2 dx

             v  =  tan u    dv  =  sec2u du

     


     



  3. Solution 
    Use integration by parts:

            u  =  x2        dv  =  e5xdx

            du  =  2x dx    v  =  1/5 e5x 

    This produces 

           

    We use integration by parts again

            u  =  x        dv  =  e5xdx

            du  =  dx    v  =  1/5 e5x 

    Which gives

           

    Finally we get

            1/5 x2e5x - 2/25 xe5x + 2/125 e5x + C




  4. Solution 
    Let 

            u  =  4 - 9x4        du  =  -36x3 

    We get

           





  5. Solution 
    We use the trig substitution

            x  =  sin
    q        dx  =  cosq dq

    We get

            


   

 

 

PROBLEM 4  Calculate the following limits if it exists:

A. (10 Points)   

Solution

         

 

 

 

 

B. (10 Points) 

  Solution

       

 

PROBLEM 5 Find the following integrals if they converge. 

A. (10 Points)   

Solution

       

  

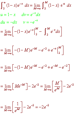
B. (10 Points)    

Solution

         

 

 

 

 

 

 

 



Back to Math 106 Home

Back to the Math Department Home

e-mail Questions and Suggestions