Area Between Two Curves

Area Between Two Curves

Recall that the area under a curve and above the x axis can be computed by the definite integral.  If we have two curves

        y = f(x) and y = g(x)

such that 

        f(x) > g(x) 

then the area between them bounded by the horizontal lines x = a and x = b is


To remember this formula we write

 


Example:  

Find the area between the curves 

        y = x2  


and 

        y = x3 

Solution:  

First we note that the curves intersect at the points (0,0) and (1,1).  Then we see that

        x3  <  x2  

in this interval.  Hence the area is given by

       


        = 1/3 - 1/4 = 1/12.


Exercises

  1. Find the area between the curves y = x2 and y = root(x)

  2. Find the area between the curves y = x2 - 4 and y = -2x

  3. Find the area between the curves y = 2/x  and y = -x + 3

  4. Find the area between the curves y =  3x   and y = 2x + 1



Area Bounded by Two Functions of y

Example:  

 Find the area between the curves 

        x = 1 - y2  

and 

        x = y2 - 1 

Here the curves bound the  region from the left and the right.  We use the formula


For our example:

       

       

 



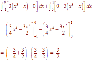
Example:  Find the area between the curves

        y = 0      and      y = 3(x3 - x)

Solution:  when we graph the region, we see that the curves cross each other so that the top and bottom switch.  Hence we split the integral into two integrals:

       



Application

Let y = f(x) be the demand function for a product and y = g(x) be the supply function.  Then we define the equilibrium point to be the intersection of the two curves.  The consumer surplus is defined by the area above the equilibrium value and below the demand curve, while the producer surplus is defined by the area below the equilibrium value and above the supply curve.  

Example:  

Find the producer surplus for the demand curve

        f(x) = 1,000 - 0.4x2  

and the supply curve of 

        g(x) = 42x

Solution

We first find the equilibrium point:

We set 

        1,000 - 0.4x2 = 42x

or 

        0.4x2 + 42x - 1,000 = 0

We get 

        x = 20 

hence

        y = 42(20) = 840

We integrate

       

        = 8400 



Back to Area and Volume Page

Back to Math 106 Home Page

Back to the Math Department Home

e-mail Questions and Suggestions