Arclength and Surface Area

Arclength

Example

Suppose that you want to design a ski lift and need to determine how much cable will be needed between two posts that are 66 feet apart.  The formula for the cable is

        y = 50 cosh(x/50)

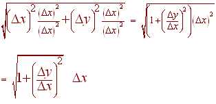
To compute the length of the cable we cut the cable into many pieces and the length of each piece is approximately equal to

       

Multiplying by (Dx)2/(Dx)2 gives

       

Taking a limit as Dx goes to zero and adding up all the pieces, we arrive at


For our example we have

       

        =  70.9 feet




Surface Area of Revolution

The area of a frostum is 

        A = 2pr(length)

If we revolve a curve around the x-axis, we have that the surface area of revolution is given by



Example:

Set up an integral that gives the surface area of revolution about the x axis of the curve 

        y = x2  from 2 to 3.  


Solution

We find

        (y')2 = (2x)2 = 4x2

Now use the area formula:

       
We will learn later how to work out this integral (with much struggle).  However a computer gives that

        A @ 208.09

 



Back to Area and Volume Page

Back to Math 106 Home Page

Back to the Math Department Home

e-mail Questions and Suggestions